新公微信公眾號【新公教育】(cqxgjy) | 備考QQ群:820473978 | 備考課程:三年直通協議
———————————————————————————————————



文章來源:https://www.cqcs.gov.cn/bm/qrlsbj_75255/zwgk_73772/fdzdgknr_73775/rsks_rlsbj/202308/t20230801_12205293.html
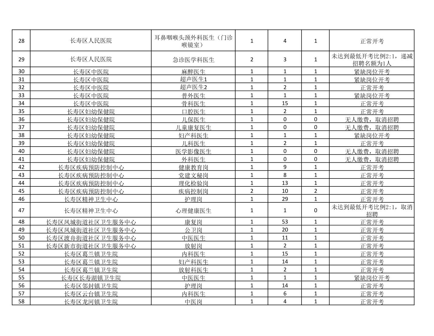
原標題:長壽區事業單位2023年第三季度公開招聘工作人員擬招聘名額、繳費人數情況一覽表
新公教育為你提供更多考試資訊和招聘公告可關注微信公眾號【新公教育(cqxgjy)】查看!
